传承世纪2006届高三年级形成性综合探究试卷(一)
数学试题(文科)
一、选择题(每小题5分,共60分)
![]()
1.如果向量 =(k,1),与
= (4,k)共线且方向相反,则k =
A.±2 B.-2 C.2 D.0
2.函数f(x)=( )x(1<x≤2)的反函数f-1(x)等于
![]()
A.log x(1<x≤2)
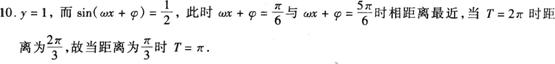
B.
log x(2<x≤4)
![]()
C.-log2x(
≤x< ﹞
D. -log2x( ≤x<1〕
3.已知P={x︱x≤0},Q={x︱x< },则Q∩CRP等于
A.{x︱x≤0} B.{x︱0≤x< }
C. {x0<x< }
D. {xx>0}
4.已知α、β都是第二象限角,且cos >cosβ,则
![]()
![]()
![]()
A . <β B.sin >sinβ C.tan >tanβ D.cot <cotβ
5.已知奇函数f(x)的定义域为:{x|x+2-a|<a,a>0},则a的值为
A.1 B.2 C.3 D.4
6.方程Ax+By+C=0表示倾斜角为锐角的直线,则必有:
A. A﹒B>0 B.A﹒B<0 C.A>0且B<0 D.A>0或B<0
7.已知f(x)=ax(a>0且a≠1),f-1(2)<0,则f-1(x+1)的图象是

8.如果方程
表示双曲线,则下列椭圆中,与该双曲线共焦点的是
![]()
A. B.
![]()
C.
D.
9.把正整数按下图所示的规律排序,则从2003到2005的箭头方向依次为

![]()
![]()
![]()
10.已知函数f(x)=2sin(ωx+ )图象与直线y=1的交点中,距离最近两点间的距离为 ,那
么此函数的周期是
A .
B.
C.2π
D.4π
11.点p到点A( ,0),B(a,2)及到直线x=- 的距离都相等,如果这样的点恰好只有一
个,那么a的值是
A. B. C. 或 D.- 或
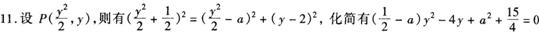
12.设 P(x,y)是曲线 上的点,F1(-4,0),F2(4,0),则
A.|F1P︳+ ︱F2P︳<10 B.|F1P|+|F2P|>10
C.|F1P︳+|F2P︳≤10 D.|F1P|+|F2P|≥10
二、填空题与连线题(每小题4分,共16分)
![]()
13.若函数 y=2x2+4x+3的图象按向量 平移后,得到函数y=2x2的图象,则: =
.
14.已知(x,y)在映射f下的象是(x+Y,-x),则(1,2)在f下原象是 .
15.圆x2+y2+x-6y+3=0上两点P、Q关于直线kx-y+4=0对称,则k= .
16.在△ABC中,B(-2,0),C(2,0),A(x,y),给出△ABC满足的条件,就能得到动点A的轨迹方程,下面给出了一些条件及方程,请你用线把左边满足的条件及相应的右边A点的轨迹方程连起来:(错一条连线得0分)

三、解答题
![]()
![]()
![]()
![]()
![]()
![]()
![]()
![]()
17.(12分)已知sin -cos = ,a∈( ,
),tan( - )=
.求tan( )的值。
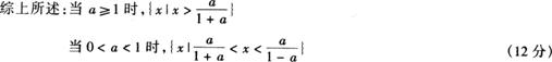
18.(12分)解关于x的不等式| x-a |<ax (a>0).
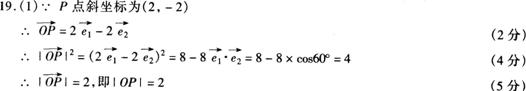
19.(12分)如图,在平面斜坐标系xOy中,∠xOy=600,平面上任一点P关于斜坐标系的斜坐
标是这样定义的:
![]()
![]()
![]()
![]()
若 =x +y ,(其中 、 分别为与x轴,y轴同方向的单位向量),则P点斜坐标为
(x,y).
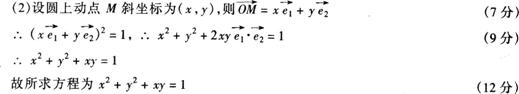
(1)若P点斜坐标为(2,-2),求P到0的距离| PO |;
(2)求以0为圆心,1为半径的圆在斜坐标系xOy中的方程.

20.(12分)已知有三个居民小区A、B、C构成三角形ABC,这三个小区分别相距BC=800m、
AB=700m、Ac=300m.为解决居民就业,服务小区生活,在与A、B、C三个小区距离相等处
建造一个食品加工厂.同时为了不影响小区居民的正常生活和休息,在厂房的四周需要安
装隔音窗或建造隔音围墙。根据以往经验.机器从厂房发出的噪音是85分贝,而维持居民
正常生活和休息时的噪音不得超过50分贝,每安装一道隔音窗噪音降低3分贝,花费3万
元。隔音窗不能超过3道;每建造一堵隔音墙噪音降低15分贝.花费10万元;距离厂房平
均每25m噪音均匀降低1分贝.
(1)求加工厂距A区的距离.( ≈1.732,精确到1 m);
(2)怎样建造隔音设备,使其隔音设备成本最低?
21.( 12分)已知等比数列{an}的公比为q,前n项的和为Sn,且S3,S9,S6成等差数列.
(1)求q3的值;
(2)求证:a2,a8,a5成等差数列.
![]()
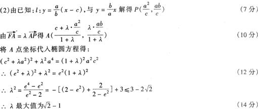
22.(14分)已知椭圆C的方程为
(a>b>0),双曲线
的两条渐近线为l1、
l2,过椭圆C的右焦点F作直线l,使l⊥l1,,又l与l2交于P点,设l与椭圆C的两个交点
由上至下依次为A、B.(如图)
(1)当l1与l2夹角为600,双曲线的焦距为4时,求椭圆C的方程.
(2)当
时,求λ的最大值.

数学参考答案
1.B 2.C 3.C 4.B 5.B 6.B 7.A 8.D 9.B 10.B 11.D 12.C
7.f -1(2)<0得f -1(2)=loga2<0,∴0<a<1,向左平移一个面位即得A.
8.由题意有pq>0,若P>0,q>O,则双曲线焦点位于Y轴上且C2=P+q无答案,则只有P<0,q<0,焦点位于x轴上,且C2=-P-q,D答案符合.

![]()

二、13.(1,-1)
14.(-2,3) 15.2 16.
(①→c ②→a ③→b)
三、
![]() |
(2分)
(4分)
(6分)
(8分)
(10分)
(12分)
18.原不等式等价于:-ax<x-a<ax (2分)

![]()
![]()



20.(1)由题设知,所求距离为△ABC外接圆半径R

(2)设需要安装x道隔音窗,建造Y堵隔音墙,总成本为S万元,由题意得:

其中S=3x+lOy (9分)
∴当x=2,y=l时,S最小值为16万元 (11分)
故安装两道隔音窗,建造一堵隔音墙 (12分)
21.(1)由S3、S9、S6成等差数列,得S3+S6=2S9 (2分)
若q=1,则S3+S6=9a1又2S9=18a1
由a1≠0,得S3+S6≠2S9 ∴q≠1 (4分)
由S3+S6=2S9得q3+q6=2q9
![]()



